首页
游戏
动作冒险
模拟经营
角色扮演
体育竞技
休闲益智
卡牌策略
音乐节奏
文字解谜
应用
商务办公
通讯社交
生活娱乐
网上购物
实用工具
旅游出行
教育学习
资讯阅读
体育养生
博客
English
中文(简体)
中文(繁体)
한국어
日本語
Português
Español
Русский
العربية
Indonesia
Deutsch
Français
ภาษาไทย
首页
游戏
应用
博客
首页
应用
教育学习
Cribs on the geometry RUS
Cribs on the geometry RUS
Updated December 23, 2025
版本
2.0
包名
com.sokolovlev.geometry
类别
教育学习
大小
7.66MB
下载 APK(7.66MB)
享受数百万个最新的Android应用,游戏,音乐,电影,电视,书籍,杂志等。随时随地,您的设备遍布设备。
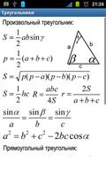
在几何形状上的婴儿床,习惯性地看着您的手机! :d
下载 APK(7.66MB)
用户还查看了
查看全部
ALLIANCE IN MOTION GLOBAL
1.2 + 11.26MB
教育学习
Main Czech words [PMQ]
1.03 + 22.53MB
教育学习
Kognitivo: Time Arena
1.2.0 + 10.33MB
教育学习
Urdu Translation AI
5.4 + 21.54MB
教育学习
How to Make Origami Birds
1.0.2 + 53.72MB
教育学习
GES Marrakech 2014
1.0.0 + 5.9MB
教育学习
热门游戏
查看全部
The Higher or Lower Game
8.9.0 + 50MB
文字解谜
ALIEN 2.0
2.01 + 4.93MB
动作冒险
Land of Dragons Hidden Object
1 + 44.15MB
休闲益智
Mancala Game free
1.3 + 9.33MB
卡牌策略
Tobot Truck Jump
3 + 18.98MB
体育竞技
Jurassic Pet Run Subway Rush Runner
8.5 + 60.57MB
体育竞技